Post
완전 이진 트리(백준 9934번) | Gihun Son

완전 이진 트리(백준 9934번)

💡 **Check Point !

( 해당사항 ✓체크 )

  1. 막힘 없이 수월하게 풀린 문제인가?

  2. 1시간이내로 풀렸던 문제인가?✓

  3. 1시간 이상 or 며칠을 두고 풀어봤더니 풀린 문제인가?

  4. 시간을 써도 도무지 풀 수 없는 문제인가?

  5. 솔루션을 찾아봤는가?✓


난이도 체감

  1. 최상

  2. 중✓


이해도

  1. 완벽히 이해✓

  2. 다소 헷갈리는 부분들이 있음

  3. 이해 못함

문제

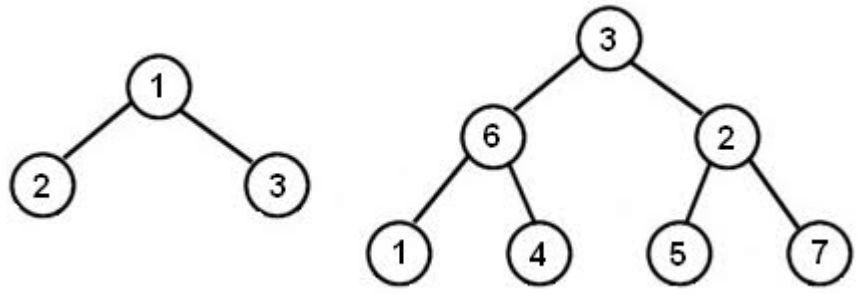
상근이는 슬로베니아의 도시 Donji Andrijevci를 여행하고 있다. 이 도시의 도로는 깊이가 K인 완전 이진 트리를 이루고 있다. 깊이가 K인 완전 이진 트리는 총 2K-1개의 노드로 이루어져 있다. (아래 그림) 각 노드에는 그 곳에 위치한 빌딩의 번호가 붙여져 있다. 또, 가장 마지막 레벨을 제외한 모든 집은 왼쪽 자식과 오른쪽 자식을 갖는다.

https://upload.acmicpc.net/2f3d1f78-7ef1-4be4-868c-6172f57f2db6/-/preview/

깊이가 2와 3인 완전 이진 트리

상근이는 도시에 있는 모든 빌딩에 들어갔고, 들어간 순서대로 번호를 종이에 적어 놓았다. 한국으로 돌아온 상근이는 도시가 어떻게 생겼는지 그림을 그려보려고 하였으나, 정확하게 기억이 나지 않아 실패했다. 하지만, 어떤 순서로 도시를 방문했는지 기억해냈다.

  1. 가장 처음에 상근이는 트리의 루트에 있는 빌딩 앞에 서있다.
  2. 현재 빌딩의 왼쪽 자식에 있는 빌딩에 아직 들어가지 않았다면, 왼쪽 자식으로 이동한다.
  3. 현재 있는 노드가 왼쪽 자식을 가지고 있지 않거나 왼쪽 자식에 있는 빌딩을 이미 들어갔다면, 현재 노드에 있는 빌딩을 들어가고 종이에 번호를 적는다.
  4. 현재 빌딩을 이미 들어갔다 온 상태이고, 오른쪽 자식을 가지고 있는 경우에는 오른쪽 자식으로 이동한다.
  5. 현재 빌딩과 왼쪽, 오른쪽 자식에 있는 빌딩을 모두 방문했다면, 부모 노드로 이동한다.

왼쪽 그림에 나와있는 마을이라면, 상근이는 2-1-3 순서대로 빌딩을 들어갔을 것이고, 오른쪽 그림의 경우에는 1-6-4-3-5-2-7 순서로 들어갔을 것이다. 상근이가 종이에 적은 순서가 모두 주어졌을 때, 각 레벨에 있는 빌딩의 번호를 구하는 프로그램을 작성하시오.

Untitled

나의 풀이

1
2
3
4
5
6
7
8
9
10
11
12
13
14
15
16
17
from collections import defaultdict
tree_dic=defaultdict(list)
def sol(nodes,depth):
    mid=len(nodes)//2
    tree_dic[depth].append(nodes[mid])
    if mid==0:
        return
    depth+=1
    sol(nodes[:mid],depth)
    sol(nodes[mid+1:],depth)

K=int(input())
Trees=list(map(int,input().split()))
depth=0
sol(Trees,depth)
for i in range(K):
    print(*tree_dic[i])
  • 재귀를 사용하여 문제를 풀었다.
  • node가 나열되어 있을 때, 중앙의 있는 값이 가장 depth가 가장 낮은 node, 즉 parent node라고 생각하면 된다.
  • 따라서 재귀함수를 사용하여, 각 node들의 중앙값을 찾아, 해당 depth dictionary에 넣어주고, 중앙값을 기준으로 둘로 나누어 다시 node를 넣어주었다.
This post is licensed under CC BY 4.0 by the author.